Laboratory Animal and Comparative Medicine ›› 2025, Vol. 45 ›› Issue (5): 623-633.DOI: 10.12300/j.issn.1674-5817.2025.033
• Animal Experimental Techniques and Methods • Previous Articles Next Articles
ZHANG Ying1,2, PENG Ziwei1,3, YANG Chang1,3, WANG Jing1,3, ZHAO Hongfang1,2, CHEN Gen4, ZHAO Hongye1,2(
)(
), WEI Hongjiang1,2,3(
)(
)
Received:2025-03-04
Revised:2025-06-24
Online:2025-10-25
Published:2025-10-23
Contact:
ZHAO Hongye, WEI Hongjiang
CLC Number:
ZHANG Ying,PENG Ziwei,YANG Chang,et al. Establishment of Allogeneic Kidney Transplantation Technical System in Banna Miniature Pig Inbred Strain[J]. Laboratory Animal and Comparative Medicine, 2025, 45(5): 623-633. DOI: 10.12300/j.issn.1674-5817.2025.033.
Add to citation manager EndNote|Ris|BibTeX
URL: https://www.slarc.org.cn/dwyx/EN/10.12300/j.issn.1674-5817.2025.033
组别 Group | 受体猪编号 Recipient pig number | 供体猪编号 Donor pig number |
|---|---|---|
健康猪接受单肾移植 Single kidney transplantation in a healthy pig | R | D |
单肾切除后肾移植 Kidney transplantation after unilateral nephrectomy | DR1 | DR2 |
| DR2 | DR1 | |
双肾切除后肾移植 Kidney transplantation after bilateral nephrectomy | DR3 | D3 |
Table 1 Experimental animal grouping for kidney trans-plantation surgery
组别 Group | 受体猪编号 Recipient pig number | 供体猪编号 Donor pig number |
|---|---|---|
健康猪接受单肾移植 Single kidney transplantation in a healthy pig | R | D |
单肾切除后肾移植 Kidney transplantation after unilateral nephrectomy | DR1 | DR2 |
| DR2 | DR1 | |
双肾切除后肾移植 Kidney transplantation after bilateral nephrectomy | DR3 | D3 |
Figure 1 Cross-matching test results between donor and recipient pigsNote: A, Cross-matching results between pig R serum and pig D red blood cells; B, Cross-matching results between pig D serum and pig R red blood cells; C, Cross-matching results between pig DR1 serum and pig DR2 red blood cells; D, Cross-matching results between pig DR2 serum and pig DR1 red blood cells. Scale bar = 50 μm.
Figure 2 Results of the CDC assay between donor and recipient pigsNote: A-B, Flow cytometry results and cell death rate for the donor pig C2, C1, D versus recipient pig R in CDC matching test; C-D, Flow cytometry results and cell death rate for donor pig C2, C1, DR2 versus recipient pig DR1 in CDC matching test; E-F, Flow cytometry results and cell death rate for donor pig C2, C1, DR versus recipient pig DR2 in CDC matching test.
供体猪或受体猪编号 Donor/recipient number | 供体肾重量/g Donor kidney weight/g | 热缺血时间 Warm ischemia time | 冷缺血时间 Cold ischemia time | 开放循环后开始排尿时间 Time to initiate urination after opening the loop |
|---|---|---|---|---|
| R | 118.9 | 1 min 5 s | 4 h 35 min | 2 min |
| DR1 | 87.3 | 2 min 5 s | 1 h 15 min | 5 min |
| DR2 | 115.7 | 5 min | 6 h 23 min | 3 min |
| DR3 | 100.5 | 4 min | 8 h 18 min | 4 min |
Table 2 Allogeneic pig kidney transplantation surgery conditions
供体猪或受体猪编号 Donor/recipient number | 供体肾重量/g Donor kidney weight/g | 热缺血时间 Warm ischemia time | 冷缺血时间 Cold ischemia time | 开放循环后开始排尿时间 Time to initiate urination after opening the loop |
|---|---|---|---|---|
| R | 118.9 | 1 min 5 s | 4 h 35 min | 2 min |
| DR1 | 87.3 | 2 min 5 s | 1 h 15 min | 5 min |
| DR2 | 115.7 | 5 min | 6 h 23 min | 3 min |
| DR3 | 100.5 | 4 min | 8 h 18 min | 4 min |
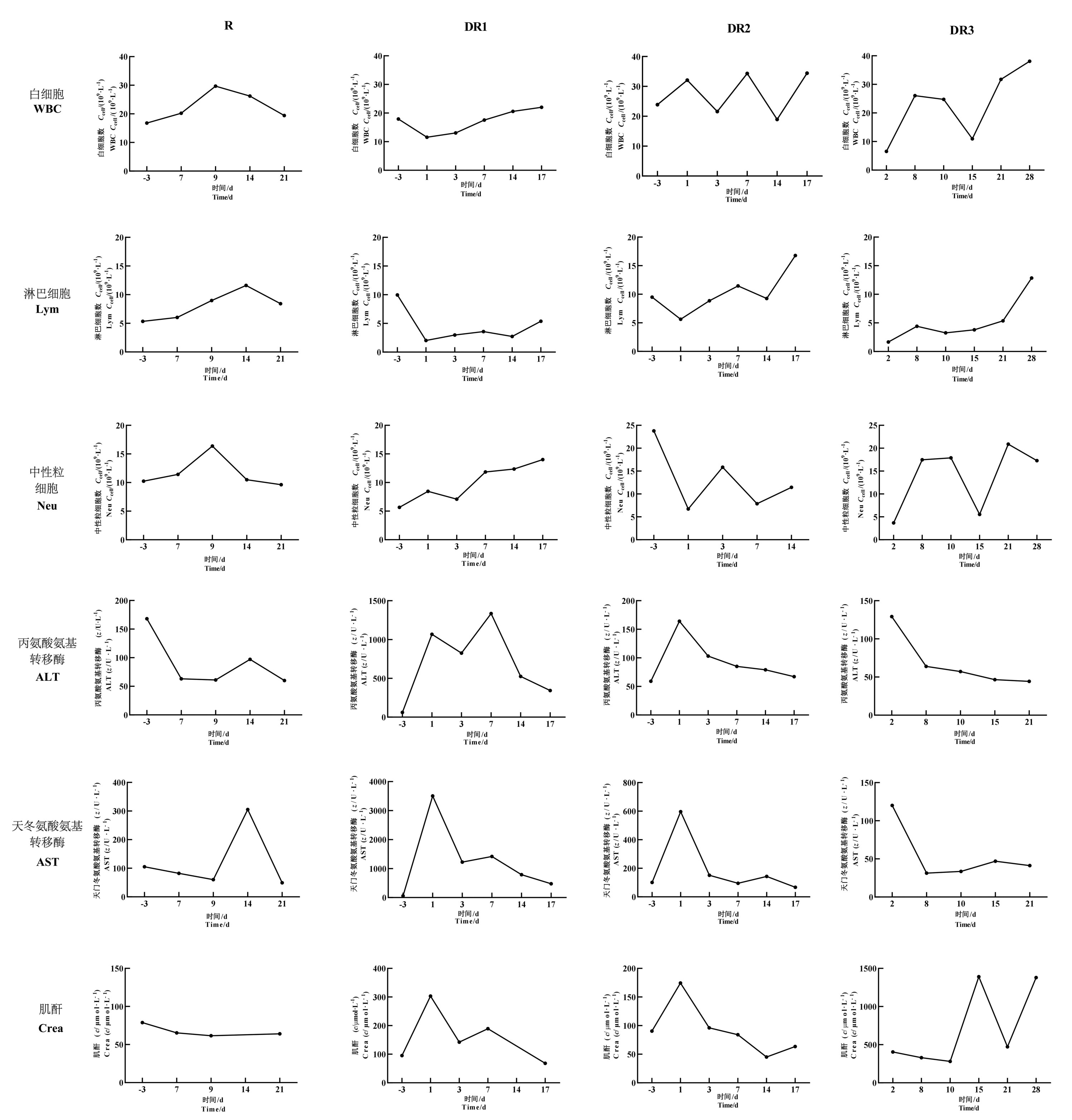
Figure 3 Routine blood, liver, and kidney function test results of donor and recipient pigs before and after kidney transplantationNote: WBC, White blood cell count; Lym, Lymphocyte count; Neu, Neutrophil count; ALT, Alanine aminotransferase; AST, Aspartate aminotransferase; Crea, Creatinine. Blood collection in pigs is difficult and may cause stress and detection errors, leading to missing data at certain time points.
Figure 4 Renal blood flow monitoring of donor and recipient pigsNote: A, Preoperative ultrasound image of pig R; B, Postoperative ultrasound image of pig R at 24 days; C, Postoperative ultrasound image of pig DR1 at 17 days; D, Postoperative ultrasound image of pig DR2 at 17 days.
Figure 5 Gross observation and HE staining of transplanted kidneyNote: A-C, Gross appearance of the non-transplanted kidney (contralateral kidney) of pig DR1, transplanted kidney of pig DR1, and transplanted kidney of pig DR3, respectively; D-F, Sectional views of the non-transplanted kidney (contralateral kidney) of pig DR1, transplanted kidney of pig DR1, and transplanted kidney of pig DR3, respectively; G, HE staining of the non-transplanted kidney (contralateral kidney) of pig DR1; H, HE staining of the transplanted kidney of pig DR1, with glomeruli showing nuclear dissolution indicated by black boxes; I, HE staining of the transplanted kidney of pig DR3, with lymphocytes indicated by red boxes and red blood cells indicated by black boxes. Scale bar = 50 μm.
| [1] | 王欣, 谢智慧, 梁国标, 等. 高压氧对大鼠肾移植后缺血再灌注肾组织中Th17细胞和单核巨噬细胞标志物表达的影响[J]. 国际泌尿系统杂志, 2020(5):875-880. DOI: 10.3760/cma.j.cn431460-20190613-00029 . |
| WANG X, XIE Z H, LIANG G B, et al. Effect of hyperbaric oxygenation on expression of Th17 cell and monocyte macrophage markers of rat in renal tissue after renal transplantation ischemia reperfusion[J]. Int J Urol Nephrol, 2020(5):875-880. DOI: 10.3760/cma.j.cn431460-20190613-0 0029 . | |
| [2] | 潘梓文, 张伟杰, 赵大强. 小鼠移植肾再次移植动物模型的建立[J]. 中华实验外科杂志, 2022, 39(1):169-172. DOI:10.3760/cma.j.cn421213-20210916-00724 . |
| PAN Z W, ZHANG W J, ZHAO D Q. Technique for mouse kidney graft re-transplantation[J]. Chin J Exp Surg, 2022, 39(1):169-172. DOI:10.3760/cma.j.cn421213-20210916-00724 . | |
| [3] | LUNNEY J K, VAN GOOR A, WALKER K E, et al. Importance of the pig as a human biomedical model[J]. Sci Transl Med, 2021, 13(621): eabd5758. DOI:10.1126/scitranslmed.abd5758 . |
| [4] | MARINO C L, LASCELLES B D X, VADEN S L, et al. Prevalence and classification of chronic kidney disease in cats randomly selected from four age groups and in cats recruited for degenerative joint disease studies[J]. J Feline Med Surg, 2014, 16(6):465-472. DOI:10.1177/1098612X13511446 . |
| [5] | ALMEIDA MOREIRA LEGATTI S, DIB R EL, LEGATTI E, et al. Acute kidney injury in cats and dogs: a proportional meta-analysis of case series studies[J]. PLoS One, 2018, 13(1): e0190772. DOI:10.1371/journal.pone.0190772 . |
| [6] | CHEN H M, XU K X, YAN C, et al. A chromosome-scale reference genome of the Banna miniature inbred pig[J]. Sci Data, 2024, 11(1):1345. DOI:10.1038/s41597-024-04201-3 . |
| [7] | CHEN H M, ZHAO H, ZHU Q Y, et al. Genomic consequences of intensive inbreeding in miniature inbred pigs[J]. BMC Genomics, 2025, 26(1):154. DOI:10.1186/s12864-025-11333-2 . |
| [8] | SCHÖNEMANN C, LACHMANN N, KIESEWETTER H, et al. Flow cytometric detection of complement-activating HLA antibodies[J]. Cytometry B Clin Cytom, 2004, 62(1):39-45. DOI:10.1002/cyto.b.20027 . |
| [9] | VERNOOIJ R W M, LAW W, PETERS S A E, et al. The probability of receiving a kidney transplantation in end-stage kidney disease patients who are treated with haemodia-filtration or haemodialysis: a pooled individual participant data from four randomised controlled trials[J]. BMC Nephrol, 2021, 22(1):70. DOI:10.1186/s12882-021-02265-6 . |
| [10] | BURGAN C M, SUMMERLIN D, LOCKHART M E. Renal transplantation: pretransplant workup, surgical techniques, and surgical anatomy[J]. Radiol Clin North Am, 2023, 61(5):797-808. DOI:10.1016/j.rcl.2023.04.003 . |
| [11] | 王雅娟, 范淑玉, 卢晓雪. 彩色多普勒超声对移植肾动脉狭窄的临床应用价值[J]. 河南医学研究, 2023, 32(23): 4262-4266. DOI:10.3969/j.issn.1004-437X.2023.23.009 . |
| WANG Y J, FAN S Y, LU X X. Clinical application value of color doppler ultrasound in transplanted renal artery stenosis[J]. HENAN Med Res, 2023, 32(23): 4262-4266. DOI:10.3969/j.issn.1004-437X.2023.23.009 . | |
| [12] | 中华医学会器官移植学分会,中国医师协会器官移植医师分会.中国肾脏移植围手术期处理临床诊疗指南[J].器官移植, 2025, 16(1):21-38.DOI:10.12464/j.issn.1674-7445.2024216 . |
| Branch of Organ Transplantation of Chinese Medical Association, Branch of Organ Transplantation Physician of Chinese Medical Doctor Association. Clinical guidelines for perioperative management of kidney transplantation in China[J]. Organ Transplantation, 2025, 16(1):21-38. DOI:10.12464/j.issn.1674-7445.2024216 . | |
| [13] | 中华医学会器官移植学分会. 慢性移植肾功能不全诊疗技术规范(2019版)[J]. 器官移植, 2019, 10(5):526-532, 539. |
| Branch of Organ Transplantation of Chinese Medical Association. Technical specification for diagnosis and treatment of chronic renal allograft dysfunction (2019 edition)[J]. Organ Transplant, 2019, 10(5):526-532, 539. | |
| [14] | HAN X W, ZHU X H, LI T, et al. A comparative study on the efficacy of a retrograde perfusion technique and an antegrade perfusion technique for donor kidney recovery in transplantation in pigs[J]. BMC Surg, 2017, 17(1):88. DOI:10.1186/s12893-017-0285-z . |
| [15] | XU H Y, HE X Z. Developments in kidney xenotransplantation[J]. Front Immunol, 2023, 14:1242478. DOI:10.3389/fimmu.202 3.1242478 . |
| [16] | 刘晓东. CO2气腹对小猪原位肾移植缺血再灌注损伤影响的实验研究[D]. 昆明: 昆明医学院, 2011. |
| LIU X D. Experimental research of ischemic reperfusion Injury with CO2 influence in small pig situ renal transplan-tation model[D]. Kunming: Kunming Medical University, 2011. | |
| [17] | 伊特格乐图, 陈国俊. 肾移植免疫学研究进展[J]. 海南医学, 2020, 31(20): 2683-2687. DOI:10.3969/issn.1003-6350.2020.20.028 . |
| YITEGELETUM, CHEN G J. Advances in immunology of renal transplantation research[J]. Hainan Med J, 2020, 31(20): 2683-2687. DOI:10.3969/issn.1003-6350.2020.20.028 . | |
| [18] | JOCHMANS I, BRAT A, DAVIES L, et al. Oxygenated versus standard cold perfusion preservation in kidney transplan-tation (COMPARE): a randomised, double-blind, paired, phase 3 trial[J]. Lancet, 2020, 396(10263):1653-1662. DOI:10.1016/S0140-6736(20)32411-9 . |
| [19] | 张玄, 窦科峰. 异种移植免疫学、生理学与生物安全挑战[J]. 中华普通外科杂志, 2025, 40(1):18-22. DOI:10.3760/cma.j.cn113855-20241210-00765 . |
| ZHANG X, DOU K F. Immunological, physiological, and biosafety challenges in xenotransplantation[J]. Chin J Gen Surg, 2025, 40(1):18-22. DOI:10.3760/cma.j.cn113855-20241210-00765 . | |
| [20] | LAKHUNDI S, ZHANG K Y. Methicillin-resistant Staphylococcus aureus: molecular characterization, evolution, and epidemiology[J]. Clin Microbiol Rev, 2018, 31(4): e00020-18. DOI:10.1128/CMR.00020-18 . |
| [1] | LIU Kai, HU Yuqi, GENG Yatian, CHENG Wenjie, WANG Jing, WEI Taiyun, ZHAO Hongfang, LI Jiayu, JIAO Deling, ZHAO Hongye, WEI Hongjiang. Preliminary Study on Construction Method of Type 1 Diabetes Model in Banna Miniature Pig [J]. Laboratory Animal and Comparative Medicine, 2024, 44(4): 384-392. |
| [2] | LI Ying, CHEN Zhen-wen, MA Lan-zhi, SHANG Shi-chen, SHANG Yu-pu, ZHAO Quan, LI Gui-jun, CUI Xiao-xia, WANG Dong-ping, DU Xiao-yan. Establishment and Application of Genetic Monitoring Methods for Inbred Gerbil by Biochemical Markers [J]. Laboratory Animal and Comparative Medicine, 2017, 37(6): 442-447. |
| [3] | LI Ying, CUI Xiao-xia, DU Xiao-yan, MA Lan-zhi, SHANG Shi-chen, HUANG Bin, GUO Zi-xiao, ZHAO Quan, LI Gui-jun, WANG Dong-ping, CHEN Zhen-wen. Comparison on Circle of Willis Patterns, Biochemical and Physiological Characteristics of Inbred CMU/1 and CMU/2 Gerbils [J]. Laboratory Animal and Comparative Medicine, 2017, 37(6): 470-474. |
| [4] | YAO Ju-fang, HUA Zheng-yu, WANG Bin, SUN Zhi-kai, DAI Hui-li. Breeding of Inbred Dwarf Rats and its Main Biological Characteristics [J]. Laboratory Animal and Comparative Medicine, 2016, 36(4): 295-300. |
| [5] | WANG Xi-long, MIN Fan-gui, PAN Jin-chun, YUAN Wen, CHEN Rui-ai, HUANG Bao-song, WANG Feng-guo. Selection and Breeding of Experimental Wuzhishan Minipigs [J]. Laboratory Animal and Comparative Medicine, 2011, 31(5): 345-348. |
| [6] | XIE Jian-yun,SHAO Wei-juan,Wang Sheng-chang,GAO Cheng. RAPD Analysis and Comparative Study on Three Inbred Strains of Rats [J]. Laboratory Animal and Comparative Medicine, 2003, 23(1): 23-25. |
| [7] | LIAN Lin-Sheng-1, LU Shao-Xiong-2. Serum Protein Polymorphisms of Banna Miniature Pig [J]. Laboratory Animal and Comparative Medicine, 2000, 20(1): 17-19. |
| [8] | HU Wen-Ping-1, LIAN Lin-Sheng-1, LIU Ai-Hua-2, LIN Shi-Ying-2. Study on Chromosomes of the Banna Miniature Pig [J]. Laboratory Animal and Comparative Medicine, 1997, 17(2): 86-88. |
| [9] | YANG Wei-Dong, SHI Xin-You, MA Zhen-Guo, XUE Zhen-Xun. The Application of Interleukin-2 Receptor Expression Assay on the Genetic Monitoring of Inbred Strain Mice [J]. Laboratory Animal and Comparative Medicine, 1994, 14(2): 67-70. |
| Viewed | ||||||
|
Full text |
|
|||||
|
Abstract |
|
|||||