慢性肾脏病大鼠主动脉钙化模型的术式优化及效果评价
|
|
潘颐聪, 蒋汶洪, 胡明, 覃晓
|
Optimization of Surgical Procedure and Efficacy Evaluation of Aortic Calcification Model in Rats with Chronic Kidney Disease
|
|
PAN Yicong, JIANG Wenhong, HU Ming, QIN Xiao
|
|
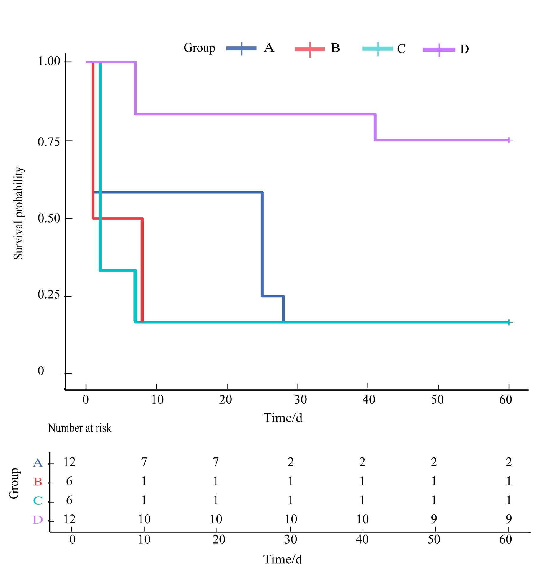
图2 不同手术方式构建的慢性肾功能不全模型组大鼠的Kaplan-Meier生存曲线分析 注:横坐标表示切除两侧肾脏后第2天开始记录的时间(单位为天)。上图展示了接受不同方式手术的大鼠术后60 d累积生存率(Log-Rank检验,P=0.007 7),其中D组大鼠的存活率最高,与A、B、C组相比差异有统计学意义(P值分别为0.003 0、0.007 4、0.003 0),而且A、B、C组的大鼠均在术后10 d内大量死亡。
|
Figure 2 Kaplan-Meier survival curve analysis of rats in chronic renal insufficiency model groups constructed using different surgical methods Note: The horizontal axis represents the time (in days) recorded from the second day after the removal of both kidneys. Upper of the figure shows that there is a significant difference in the cumulative survival rate of rats after 60 days of surgery using different surgical methods (log-rank test, P=0.007 7), The survival rate of rats in group D was the highest, with statistically significant differences compared to groups A, B, and C (P=0.003 0, P=0.007 4, P=0.003 0, respectively). Moreover, rats in groups A, B, and C experienced high mortality within 10 days after surgery.
|
|
|
|
|